Pękanie grubych blach

utworzone przez | 06.03.2026 | Ekspertyzy, Mechanika pękania, Symulacje MES, Z życia rzeczoznawcy

Dlaczego grubość blachy wpływa na ryzyko kruchego pękania? Kluczem do zrozumienia tego zjawiska są dwa pojęcia: płaski stan naprężenia (PSN) oraz płaski stan odkształcenia (PSO). Chodzi o to, co dzieje się z materiałem w osi grubości podczas rozciągania.  W cienkich blachach występuje tylko PSN, podczas którego materiał w strefie maksymalnych naprężęń może swobodnie odkształcać się w kierunku grubości (bo jest znikoma w stosunku do dwóch pozostałych wymiarów) powodując przejście w stan plastyczny w postaci przeważenia tzw szyjki. To odkształcenie pochłania bardzo dużą energię i pozwala na plastyczne płynięcie stali przed ostatecznym zerwaniem. Jest to pękanie ciągliwe, która daje znaki ostrzegawcze.

W grubych blachach występuje PSO, podczas którego rdzeń elementu jest „uwięziony” przez ogromne masy otaczającej go stali. Materiał w środku chce się przewęzić, ale fizycznie nie może. Skutkuje to powstaniem trójosiowego stanu naprężenia – trzecia oś w kierunku grubości. W tym stanie zablokowane są naprężenia tnące, które odpowiadają za „poślizg” w sieci krystalicznej, czyli plastyczność. Skoro stal nie może popłynąć plastycznie, naprężenia rosną aż do momentu, w którym przekraczają wytrzymałość na rozrywanie w samej sieci krystalicznej. Dochodzi wtedy do pękania kruchego w temperaturze dalekiej najniższej dopuszczalnej. Stal pęka nagle i z ogromnym hukiem, oraz z minimalnym pochłonięciem energii. Dokładnie tak jak szkło. Dlatego grubsze blachy zmuszają projektantów do wyboru stali o wyższej gwarantowanej pracy łamania. Zasada dotyczy tylko konstrukcji pracujących na stale w niskich temperaturach (mosty), więc nie dotyczy ona wanny cynkowniczej pracującej w temperaturze rozpoczęcia się zjawiska pełzania.

Jak ocenić jaka wartość pracy łamania wystarczy? Próba uderzeniowa Charpy’ego jest próbą dynamiczną na próbce z karbem. Z niej wyznacza się pracę łamania, która jest zawarta w normach. Z kolei najważniejsza cecha materiału z punktu widzenia mechaniki pękania, czyli krytyczny współczynnik intensywności naprężęń przy płaskim odkształceniu PSO (KIC), wyznacza się w warunkach statycznych z użyciem zmęczeniowej szczeliny. Nie istnieje czysto analityczny wzór łączący te dwie wartości.  Ponieważ jednak badania KIC są bardzo drogie i czasochłonne, to opracowano zależności empiryczne, które pozwalają oszacować KIC na podstawie taniej i szybkiej próby Charpy’ego. Dzięki tym wzorom, mając zbadaną pracę łamania, projektant może oszacować parametr KIC i obliczyć krytyczną wielkość wady (np. mikropęknięcia), która doprowadzi do zniszczenia konstrukcji lub aparatu. Innymi słowy mechanika pękania nie odpowie na pytanie czy niska wartość pracy łamania w temperaturze pokojowej jest pierwotną przyczyną awarii. Mogłaby natomiast odpowiedzieć czy dla zadanej pracy łamania dane początkowe mikropęknięcie może rozwinąć się do pełnej szczeliny na wskroś grubości blachy wanny. Takich danych jednak mieć nie będziemy.

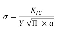
Dlaczego sama praca łamania nie określa naprężenia niszczącego? Granica plastycznościmówi nam o tym, przy jakim naprężeniu materiał idealny (bez wad) zacznie się trwale odkształcać. Natomiast praca łamaniamówi nam o tym, ile energii materiał potrafi pochłonąć, gdy już posiada wadę (karb) i uderzymy w niego dynamicznie. Naprężenie niszczące jest proporcjonalne do KIC i do rozmiaru karbu zgodnie z ogólnie znanym wzorem:

Związek między pracą łamania, a granicą plastyczności są zazwyczaj odwrotnie proporcjonalne. Kiedyś istniała zależność dla stali konstrukcyjnych, że im twardsza i bardziej wytrzymała stal, tym jest bardziej krucha. Obecnie mamy do dyspozycji wysublimowane metody obróbki cieplnej i dodatki stopowe, więc ta zależność nie jest już tak oczywista.  Nie ma jednego, magicznego wzoru. Trzeba przejść ścieżkę: KV – KIC – ustalenie wielkości wady – obliczenie naprężenia niszczącego. W energetyce istnieje ściśle przestrzegana zasada dotycząca włączania do ruchu i odstawiania z ruchu rurociągów pracujących na parametrach krytycznych, które są stosunkowo równomiernie rozgrzewane po obwodzie powierzchni wewnętrznych. W przypadku wanny cynkowniczej (mimo, że jest aparatem bezciśnieniowym) zasada ta jest absolutnie kluczowa dla bezpiecznej pracy aparatu. Wynika to z faktu, że bardzo intensywne źródła ciepła są rozmieszczone tylko w kilku miejscach. Nierównomierność temperatury prowadzi do nierównomierności odkształcenia, co kończy się nierównomiernym polem naprężenia. Aby te nierównomierności zminimalizować należy wykonywać przystanki w celu ujednolicenia gradientów.    

Na poniższym rysunku przedstawiono wykres zbieżności symulacji w czasie. Pokazuje on, że największe problemy ze zbieżnością były przez około pierwsze 20 % czasu. Co z tego wynika? Mimo, że symulacja ma walor hipotezy, to jednak pokazuje pewien możliwy scenariusz wystąpienia awarii. Podczas nierównomiernego z konieczności grzania na początku (czyli przez pierwszą godzinę lub dwie) powstaje stan odkształcenia (wyboczenie powierzchni bocznej wanny), który wygina łuki wanny. Łuki mogły mieć temperaturę kilkudziesięciu stopni Celsjusza, ale na tyle jeszcze niską udarność, że powstające od odkształcenia naprężenia doprowadziły do kruchego pęknięcia. Niestety na wystąpienie takiego scenariusza autor nie ma i nigdy nie będzie miał twardych dowodów.


Model wanny cynkowniczej użytej do symulacji.

Wyniki dla 5 godziny nagrzewania, czyli dla 10% całego czasu wygrzewania wanny.

Sprawdź te powiązane posty